Estudiar el valor pronóstico de un modelo de 5 ítems clínicos basado en las recomendaciones IC-BERG para la evaluación en consulta de pacientes ambulatorios con insuficiencia cardiaca (IC).
MétodosEstudio observacional basado en la cohorte histórica de pacientes con IC remitidos a una consulta monográfica entre 2010 y 2019. Se evaluó la presencia de 5 ítems clínicos de riesgo: NYHA III-IV, signos de congestión, ingreso por descompensación en el último año, dosis diaria de furosemida≥40mg o equivalente y NT-proBNP≥1.000pg/ml. Se estudió la incidencia de desenlaces clínicos adversos mediante el método de Kaplan-Meier y la regresión de Cox.
ResultadosSe estudiaron 1.909 pacientes, que presentaban una media de 2,29 ítems de riesgo. El análisis de Kaplan-Meier mostró una tendencia incremental entre un mayor número de ítems de riesgo y el desenlace combinado muerte o ingreso por IC, la mortalidad global y la mortalidad cardiovascular (p<0,001). Las hazard ratio ajustadas para el desenlace muerte o ingreso por IC, estimadas por regresión multivariante de Cox, fueron de 1,47 (IC95%, 1-2,15), 2,03 (IC95%, 1,41-2,92), 2,98 (IC95%, 2,08-4,28), 5,07 (IC95%, 3,51-7,32) y 7,73 (IC95%, 5,21-11,45) para pacientes con 1, 2, 3, 4 o 5 ítems de riesgo, respectivamente. El peso proporcional de las causas cardiovasculares de muerte, y en especial la IC, fue mayor en los pacientes con mayor número de ítems de riesgo.
ConclusionesEste estudio apoya el valor pronóstico de un modelo de evaluación clínica para pacientes ambulatorios con IC basado en las recomendaciones IC-BERG.
To assess the prognostic value of a 5-item clinical model based in the IC-BERG recommendations to evaluate ambulatory patients with heart failure (HF) in the clinic.
MethodsObservational study based on the historical cohort of patients with HF referred to a specific facility since 2010 to 2019. The presence of 5 clinical ítems was evaluated: NYHA III-IV class, signs of congestion, admission due to decompensation in the previous year, daily dose≥40mg furosemide or equivalent, and NT-proBNP≥1,000pg/ml. The incidence of adverse clinical events was assessed by means of the Kaplan-Meier method and multivariable Cox's regression.
ResultsWe studied 1909 patients, whose mean number of clinical ítems indicating risk was 2.29. Kaplan-Meier survival analysis showed an incremental trend between an increasing number of clinical ítems of risk and the combined event death or admission due to HF, overall mortality, and cardiovascular mortality (P<.001). Adjusted hazard-ratio for the combined end-point death or admission due to HF, as estimated by means of multivariable Cox's regression, were 1.47 (95%CI, 1–2.15), 2.03 (95%CI, 1.41–2.92), 2.98 (95%CI, 2.08–4.28), 5.07 (95%C,: 3.51–7.32), and 7.73 (95%CI, 5.21–11.45) for patients who showed 1, 2, 3, 4, or 5 clinical ítems indicating risk, respectively. The proportional weight of cardiovascular causes of risk, especially refractory HF, was higher in patients with a higher number of clinical ítems of risk.
ConclusionsThis study supports the prognostic value of a 5-item clinical model based on IC-BERG recommendations in ambulatory patients with HF.
El concepto de «estabilidad clínica», que con frecuencia se emplea para definir la situación de un paciente con insuficiencia cardiaca (IC) que no muestra datos clínicos de descompensación en el momento de ser valorado en consulta, está siendo revisado1. El principal motivo de controversia con respecto a este perfil de pacientes radica en que, en algunos casos, la asunción de estabilidad clínica podría llevar a una inadecuada atribución de buen pronóstico cardiovascular y a la pérdida de oportunidades para optimizar el tratamiento, lo que favorece la inercia asistencial. Sin embargo, la evidencia disponible sugiere que los pacientes ambulatorios con IC crónica, incluso aquellos aparentemente «estables», están expuestos a un riesgo significativo de muerte y hospitalizaciones por IC2.
El proyecto «Insuficiencia Cardiaca en consulta amBulatoria del paciente aparentemente estable: Retos y Guía de manejo» (IC-BERG)3 es una iniciativa de la Asociación de Cardiología Clínica, de la Sociedad Española de Cardiología, encaminada a analizar y ayudar a mejorar la atención a los pacientes con IC en la consulta externa. Los investigadores realizaron un estudio siguiendo la metodología Delphi mediante la cual, con la utilización de unos cuestionarios dirigidos, se analizó la opinión de 150 cardiólogos clínicos españoles sobre aspectos concretos relativos al diagnóstico y tratamiento de los pacientes ambulatorios con IC. Las conclusiones del estudio dieron pie a la redacción de un cuestionario muy sencillo constituido por una serie de preguntas que permiten guiar fácilmente la entrevista con el paciente con IC en la consulta externa4.
El modelo de entrevista clínica propuesto por el grupo IC-BERG recomienda que, en el momento de visitar a un paciente ambulatorio con IC, el médico responsable obtenga información relativa a los siguientes 5 ítems clínicos: progresión de la sintomatología, presencia de signos de congestión, dosis de diurético que recibe el paciente (se considera relevante una dosis diaria de furosemida≥40mg o una dosis diaria equivalente de otro diurético), ocurrencia de episodios de descompensación de IC que hayan motivado la hospitalización o la visita a urgencias en el último año e incremento significativo del valor plasmático de los péptidos natriuréticos. La presencia de alguno de estos ítems debería alertar al clínico sobre una progresión de la enfermedad y un agravamiento del cuadro de IC sin que necesariamente implique un empeoramiento de la clase funcional y, por tanto, llevaría a considerar modificaciones terapéuticas.
El objetivo de nuestro estudio fue analizar el valor pronóstico de un modelo clínico de 5 ítems inspirado en las recomendaciones IC-BERG en una cohorte histórica de pacientes con IC atendidos en una consulta monográfica.
MétodosDescripción del estudioSe realizó un estudio observacional y retrospectivo basado en el registro clínico de pacientes atendidos en la consulta monográfica de IC del Complejo Hospitalario Universitario de A Coruña entre los años 2010 y 2019. La información para el estudio se obtuvo a partir del Sistema Inteligente de Monitorización de Insuficiencia Cardiaca, gestor de historias clínicas de la unidad de IC desarrollado por el servicio de informática de nuestro centro, que se actualiza de forma periódica por personal de apoyo a la investigación. Se recabó el consentimiento informado de los pacientes para el uso de sus datos clínicos con fines de investigación. El protocolo de este proyecto de investigación se aprobó por el Comité de Ética de la Investigación Sanitaria de A Coruña-Ferrol.
Modelo clínicoTomando como referencia las recomendaciones IC-BERG5 se definió un modelo compuesto por los siguientes 5 ítems clínicos que se especifican a continuación:
- -
Clase funcional de la New York Heart Association (NYHA) III o IV.
- -
Signos de congestión pulmonar (crepitantes, derrame pleural, edema pulmonar radiológico, intolerancia al decúbito) o sistémica (ingurgitación yugular, hepatomegalia, edema en miembros inferiores, ascitis).
- -
Dosis diaria de diurético≥40mg de furosemida o equivalente.
- -
Antecedente de hospitalización por IC en el último año.
- -
Valor plasmático de la fracción aminoterminal del propéptido natriurético cerebral (tipo B) (NT-proBNP) 1.000pg/ml.
En el presente estudio se evaluó la correlación existente entre el número de ítems clínicos del modelo, presentes en el momento de la primera consulta, y la incidencia de desenlaces clínicos adversos durante el seguimiento a largo plazo.
Variables de desenlaceEl seguimiento del estado vital de los pacientes incluidos en el estudio comprendió desde el momento de la primera visita en la consulta monográfica de IC hasta la fecha de la muerte o, en su defecto, hasta el 15 de mayo de 2020. En el caso de los pacientes que recibieron un trasplante cardiaco el seguimiento se censuró en la fecha de dicha intervención.
Las variables de desenlace que se analizaron en este estudio fueron el combinado de muerte u hospitalización por IC, la mortalidad por todas las causas y la mortalidad por causas cardiovasculares. A efectos del análisis de supervivencia el trasplante cardiaco se consideró un evento equivalente a la hospitalización por IC, pero no se contabilizó como evento de mortalidad.
Se consideraron causas de muerte cardiovascular la muerte súbita o por causa arrítmica, la muerte por IC refractaria, la muerte por accidente cerebrovascular, la muerte por isquemia o tromboembolismo arterial, la muerte por tromboembolismo venoso y la muerte atribuible a complicaciones de un procedimiento cardiovascular. Las muertes por causa desconocida también se asumieron, a efectos del análisis de supervivencia, como muertes por causa cardiovascular.
Análisis estadísticoLas variables categóricas se presentan mediante proporciones, mientras que las variables continuas se presentan mediante la media±desviación estándar.
Se empleó el análisis de Kaplan-Meier para la construcción de las curvas de probabilidad acumulada de desenlaces clínicos adversos a lo largo del seguimiento; la comparación entre subgrupos de pacientes, de acuerdo con el número de ítems clínicos de riesgo presentes, se realizó mediante la prueba de rangos logarítmicos de tendencia lineal.
Se utilizó un análisis de regresión de Cox multivariante por pasos hacia atrás con un criterio p-salida<0,05 para identificar predictores clínicos asociados con el riesgo de presentar cada uno de los 3 desenlaces clínicos adversos estudiados. Los modelos obtenidos se utilizaron para estimar las hazard ratio ajustadas para cada desenlace clínico de cada uno de los subgrupos de pacientes categorizados en función del número de ítems clínicos de riesgo presentes. Las covariables seleccionadas para su entrada en el paso inicial del proceso fueron las siguientes: edad, sexo, enfermedad coronaria, hipertensión arterial, diabetes, obesidad (índice de masa corporal≥30), dislipidemia, tabaquismo, insuficiencia renal (tasa de filtrado glomerular<60ml/min), neoplasia, enfermedad cerebrovascular, broncopatía crónica, arteriopatía periférica, anemia (hemoglobina<13g/dl en varones y<12g/dl en mujeres), fibrilación auricular, fracción de eyección<40%, desfibrilador, tratamiento con bloqueadores beta, tratamiento con inhibidores de la enzima de conversión de la angiotensina/antagonistas del receptor de angiotensina ii/sacubitrilo-valsartán.
La capacidad del modelo para discriminar el riesgo de desenlaces clínicos adversos a un año de seguimiento se evaluó mediante la construcción de las curvas operador-receptor y el cálculo del estadístico c (área bajo la curva).
El análisis estadístico se realizó con el software SPSS 20. Se fijó un nivel de significación estadística p<0,05.
ResultadosPacientesLa cohorte estudiada incluyó un total de 1.909 pacientes, de los cuales 1.346 (70,5%) residían en el área sanitaria de referencia de nuestro centro y 563 (29,5%) se trasladaron desde otros hospitales de la comunidad autónoma para ser tratados y seguidos en nuestra unidad. Las características clínicas basales de los pacientes se presentan en la tabla 1.
Características clínicas y tratamiento de los pacientes incluidos en el estudio en el momento de la primera visita clínica en consulta
| Características clínicas | |
| Edad (años), media±desviación estándar | 63,3±12,3 |
| Mujeres, n (%) | 537 (28,1%) |
| Hospitalización por insuficiencia cardiaca | 908 (47,6%) |
| Hospitalización por insuficiencia cardiaca en el último año | 765 (40,1%) |
| Enfermedad arterial coronaria | 791 (41,4%) |
| Infarto de miocardio | 361 (28%) |
| Diabetes | 583 (30,5%) |
| Hipertensión arterial | 1.022 (53,5%) |
| Fumador o exfumador | 1.098 (57,5%) |
| Dislipidemia | 1.023 (53,3%) |
| Obesidad | 655 (34,3%) |
| Broncopatía crónica | 212 (10,6%) |
| Enfermedad vascular periférica | 139 (7,3%) |
| Enfermedad cerebrovascular | 179 (9,4%) |
| Neoplasia | 268 (14%) |
| Fibrilación o aleteo auricular | 481 (25,2%) |
| Desfibrilador automático | 289 (15,1%) |
| Clase funcional New York Heart Association | |
| Clase I | 208 (10,9%) |
| Clase II | 1.049 (55%) |
| Clase III | 585 (30,6%) |
| Clase IV | 67 (3,5%) |
| Signos físicos de congestión sistémica | 314 (16,4%) |
| Signos físicos de congestión pulmonar | 228 (11,9%) |
| Fracción de eyección del ventrículo izquierdo (%) | 34,5±13,8 |
| Fracción de eyección del ventrículo izquierdo≥40% | 505 (26,4%) |
| Hemoglobina (g/dl) | 13,6±1,9 |
| NT-proBNP (pg/ml) | 3.194±5.035 |
| Creatinina (mg/dl) | 1,3±0,8 |
| Tasa de filtrado glomerular (ml/min/m2) | 76±34 |
| Tratamiento en la primera visita | |
| Bloqueador beta | 1.684 (88,2%) |
| Inhibidor de la enzima conversora de angiotensina | 1.081 (56,6%) |
| Antagonista del receptor de angiotensina ii | 451 (14,6%) |
| Sacubitrilo-valsartán | 171 (9%) |
| Antagonista del receptor mineralocorticoide | 1.231 (64,5%) |
| Ivabradina | 116 (6,1%) |
| Digoxina | 168 (8,8%) |
| Diurético de asa | 1.542 (80,7%) |
| Dosis diaria equivalente de furosemida (mg) | 59,7±33,9 |
| Otro diurético | 77 (4%) |
NT-proBNP: fracción aminoterminal del propéptido natriurético cerebral (tipo B).
Un total de 652 (34,2%) pacientes presentaban clase funcional NYHA III o IV; 394 (20,6%) pacientes presentaban signos clínicos de congestión; 1.359 (71,2%) pacientes recibían una dosis diaria de diuréticos≥40mg o equivalente; se hospitalizaron a 765 (40,1%) pacientes por IC en el año previo y 1.202 (63%) pacientes presentaban un valor plasmático de NT-proBNP≥1.000pg/ml. En 5 (0,3%) pacientes no se conocía el valor plasmático de NT-proBNP.
El número medio±desviación estándar de ítems clínicos incluidos en el modelo basado en las recomendaciones IC-BERG que presentaban los pacientes incluidos en el estudio en el momento de su primera valoración en consulta era de 2,29±1,45. La figura 1 muestra la distribución de los pacientes de acuerdo con el número de ítems clínicos de riesgo (0-5) presentes en ese momento.
Desenlaces clínicosEl seguimiento medio±desviación estándar de los pacientes incluidos en el estudio fue de 1.387±100 días. A lo largo de este periodo 433 (22,7%) pacientes fallecieron y 113 (5,9%) recibieron un trasplante cardiaco. Además, 572 (30%) presentaron alguna hospitalización por IC.
La figura 2 muestra las curvas de probabilidad acumulada del desenlace combinado de muerte por cualquier causa o ingreso por IC (fig. 2A), muerte por cualquier causa (fig. 2B) y muerte por causas cardiovasculares (fig. 2C), estimadas mediante el método de Kaplan-Meier, de acuerdo con el número de ítems clínicos de riesgo presentes en la primera visita clínica (0-5). La prueba de rangos logarítmicos mostró una tendencia lineal incremental, estadísticamente significativa, hacia una mayor probabilidad acumulada de los 3 desenlaces clínicos conforme a la presencia de un mayor número de ítems de riesgo (p<0,001 para los 3 desenlaces).
Probabilidad acumulada de los diferentes desenlaces clínicos del estudio en el seguimiento a largo plazo en función del número de ítems de riesgo (0-5) presentes al inicio del seguimiento: análisis de Kaplan-Meier. A: muerte o ingreso por insuficiencia cardiaca. B: muerte por cualquier causa. C: muerte por causas cardiovasculares.
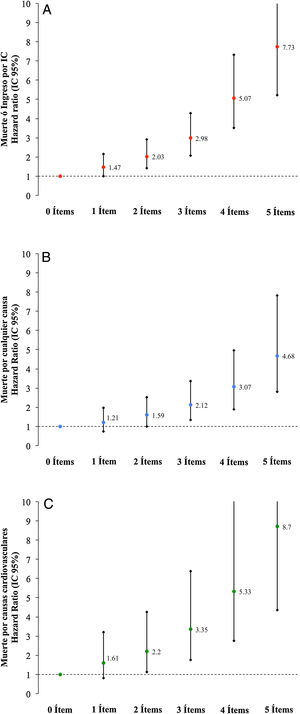
En la figura 3 se representan gráficamente las hazard ratio (HR) ajustadas, estimadas mediante regresión multivariante de Cox, para cada uno de los 3 desenlaces clínicos analizados, y en función del número de ítems de riesgo presentes en los pacientes del estudio, tomando como categoría de referencia el grupo de pacientes con 0 ítems de riesgo.
Hazard-ratio ajustadas para los diferentes desenlaces clínicos del estudio en función del número de ítems de riesgo (0-5) presentes al inicio del seguimiento: análisis de regresión de Cox multivariante. A: muerte o ingreso por insuficiencia cardiaca. B: muerte por cualquier causa. C: muerte por causas cardiovasculares.
IC: insuficiencia cardiaca.
Con respecto al desenlace combinado de muerte o ingreso por IC, se estimaron unas HR de 1,47 (intervalo de confianza del 95% [IC95%]: 1-2,15), 2,03 (IC95%, 1,41-2,92), 2,98 (IC95%, 2,08-4,28), 5,07 (IC95%, 3,51-7,32) y 7,73 (IC95%, 5,21-11,45) para los pacientes con 1, 2, 3, 4 o 5 ítems de riesgo, respectivamente.
La tabla 1 del material adicional presenta las HR individuales de cada uno de los 5 ítems de riesgo analizadas en el modelo para el desenlace combinado muerte o ingreso por IC, estimadas mediante regresión de Cox univariante y multivariante.
Causas de muerteLa causa principal de muerte era conocida en 422 (97,5%) de los 433 fallecimientos registrados a lo largo del seguimiento. Entre las causas cardiovasculares de muerte se registraron 146 (33,7%) muertes por IC refractaria, 104 (24,1%) muertes súbitas y 25 (5,8%) muertes por otras causas cardiovasculares. Las restantes 147 (33,9%) muertes se atribuyeron a causas no cardiovasculares.
La figura 4 representa el peso proporcional de cada una de las principales causas de muerte en función del número de ítems de riesgo (0-5) que presentaban los pacientes al inicio del seguimiento. Se puede apreciar cómo a medida que se incrementa el número de ítems de riesgo, aumenta la proporción de muertes atribuidas a IC refractaria, mientras que se reduce la proporción de muertes atribuidas a causas no cardiovasculares (p=0,011).
Capacidad discriminativa del modeloLa figura 5 muestra las curvas operador-receptor que se emplearon para evaluar la capacidad del modelo de 5 ítems basado en las recomendaciones IC-BERG para discriminar el riesgo de ocurrencia de los diferentes desenlaces clínicos a un año de seguimiento.
El modelo predictivo mostró un estadístico c (área bajo la curva operador-receptor) de 0,78 (IC95%, 0,77-0,79; p<0,001) para el riesgo del desenlace combinado muerte o ingreso por IC a un año, de 0,74 (IC95%, 0,72-0,76; p<0,001) para el riesgo de muerte por cualquier causa a un año y de 0,78 (IC95%, 0,76-0,80; p<0,001) para el riesgo de muerte por causas cardiovasculares a un año.
DiscusiónEste es el primer estudio que aporta evidencia científica sobre la utilidad del esquema de entrevista clínica para pacientes ambulatorios con IC propuesto por el grupo de trabajo IC-BERG de la Asociación de Cardiología Clínica de la Sociedad Española de Cardiología. En una cohorte histórica de 1.909 pacientes con IC atendidos en una unidad especializada de un hospital universitario español, un modelo clínico basado en las recomendaciones IC-BERG y constituido por 5 ítems fácilmente evaluables en consulta —clase funcional NYHA III o IV, presencia de signos clínicos de congestión, necesidad de una dosis diaria de furosemida≥40mg o equivalente, antecedente de hospitalización por IC en el último año y valor plasmático de NT-proBNP≥1.000pg/ml— mostró su capacidad predictiva para la ocurrencia futura de desenlaces clínicos adversos, que incluye la mortalidad por cualquier causa y por causas cardiovasculares y la hospitalización por IC. El modelo retuvo un valor pronóstico incremental, de tal manera que el riesgo de desenlaces clínicos adversos resultaba tanto mayor cuanto mayor número de ítems clínicos de riesgo presentaran los pacientes. Por último, el peso de las causas cardiovasculares de muerte, y en especial de la IC refractaria, también fue mayor en los pacientes que acumulaban un mayor número de ítems clínicos de riesgo.
La principal característica del modelo clínico propuesto a partir de las recomendaciones IC-BERG4 es su aplicabilidad práctica, la cual a su vez es una consecuencia de su sencillez, dado que los ítems que lo conforman deberían poder ser evaluados de forma casi inmediata en la mayoría de las consultas de cardiología. Es posible, no obstante, que en algunos centros la información relativa al valor de los péptidos natriuréticos no esté disponible; incluso en estos casos, el esquema formado por los 4 ítems restantes resultaría de utilidad para guiar la entrevista clínica del paciente con IC. El modo en cómo el grupo de trabajo IC-BERG ha llegado a la identificación de los ítems clínicos a evaluar, mediante un análisis Delphi en el que se ha tomado en consideración la opinión de un amplio grupo de cardiólogos clínicos españoles3, también resulta novedoso y lo diferencia de otros modelos predictivos presentados con anterioridad, los cuales se han obtenido en la mayor parte de los casos a partir de análisis de derivación estadística multivariante. Si bien varios de los modelos predictivos convencionales han demostrado una discriminación y calibración adecuadas, una crítica habitual a este tipo de herramientas es el consumo de tiempo que conllevan, lo que resulta en una escasa practicidad. En un estudio multicéntrico europeo de actividad clínica «en vida real», menos del 1% de los pacientes con IC incluidos recibieron una estimación pronóstica basada en algún modelo predictivo de riesgo5.
Existe amplia evidencia científica que avala el valor pronóstico individual de cada una de las 5 variables incluidas en el modelo clínico propuesto. La asociación entre una clase funcional de la NYHA más avanzada y el riesgo de muerte es conocida6. Este parámetro constituye una buena aproximación inicial a la carga sintomática global del paciente con IC, pero presenta algunas limitaciones. La clase NYHA está condicionada por la subjetividad, tanto del paciente como del médico que la evalúa; además, en pacientes con edad avanzada o comorbilidades extracardiacas, la atribución de la limitación funcional a la IC puede ser difícil. Entre las recomendaciones del proyecto IC-BERG4 se incluye la necesidad de preguntar al paciente de modo específico por cambios recientes en su capacidad para realizar actividades habituales con el objetivo de establecer correctamente su clase funcional, y se ponen como ejemplo algunas preguntas concretas que pueden ayudar al médico en esta tarea.
En un paciente con IC crónica la presencia de signos clínicos de congestión traduce un estado de sobrecarga de volumen, y se correlaciona con mayor gravedad del cuadro y peor pronóstico7, especialmente si estos no responden de forma adecuada a la intensificación del tratamiento. En la actualidad se disponen de diferentes herramientas que pueden ayudar en el reto clínico que supone la identificación del estado congestivo en pacientes con IC8, lo que incluye, entre otras, las técnicas de imagen y los biomarcadores; aun así, cabe resaltar el valor diagnóstico y pronóstico que continúa teniendo una detallada exploración física en la consulta7. Las descompensaciones congestivas constituyen el motivo más frecuente de hospitalización por agudización en los pacientes con IC; la necesidad de ingreso por este motivo se correlaciona con un incremento de la mortalidad, que es más marcado durante el periodo inmediato tras una hospitalización reciente9 y en caso de hospitalizaciones recurrentes10. La necesidad de incrementar progresivamente la dosis de diuréticos para mantener el estado de euvolemia es otro marcador de enfermedad avanzada; el riesgo de muerte se incrementa ya a partir de una dosis diaria de 40mg de furosemida o equivalente11.
Numerosos trabajos avalan el valor pronóstico de la determinación plasmática de los péptidos natriuréticos en pacientes con IC12. Esta medida también resulta de utilidad para la monitorización de la evolución clínica y la respuesta a las diferentes intervenciones terapéuticas; en general, el incremento evolutivo de los péptidos natriuréticos es un marcador de progresión de la enfermedad y se asocia a un peor pronóstico. Hasta el momento, no se dispone de una evidencia científica consistente que haya demostrado el beneficio clínico del tratamiento dirigido por los valores plasmáticos de los péptidos natriuréticos13; no obstante, se ha observado que los pacientes que experimentan una reducción del valor plasmático de NT-proBNP hasta cifras inferiores a 1.000pg/ml tras la optimización del tratamiento farmacológico presentan una mayor supervivencia14.
Los resultados de nuestro estudio son trascendentes para la práctica clínica diaria. El modelo de 5 ítems propuesto permite al médico obtener en la consulta y de manera casi inmediata información útil para establecer el pronóstico y guiar el tratamiento del paciente ambulatorio con IC. En los pacientes que no presentan ninguno de los ítems clínicos de riesgo cabría esperar un buen pronóstico; aun asumiendo las limitaciones que presenta el término, este perfil clínico representaría lo que podríamos denominar paciente con IC «realmente estable». Cabe destacar, sin embargo, que la simple presencia de un ítem clínico de riesgo ya se asocia a un incremento significativo del riesgo de muerte u hospitalización por IC, que paulatinamente se incrementa con la acumulación creciente de un mayor número de ítems. La identificación de alguna de las variables clínicas señaladas, por tanto, debería llevar al médico a replantear la idoneidad del tratamiento actual del paciente, y a considerar si aún existe algún margen para la optimización de este.
LimitacionesEl presente trabajo tiene algunas limitaciones. En primer lugar, se trata de un estudio observacional sobre datos recogidos en un registro clínico preexistente, que no fue diseñado de forma específica para este estudio. Se ha de reconocer un cierto sesgo de selección en la cohorte estudiada cuyas características clínicas son las propias de una población de pacientes con IC atendidos en una unidad especializada de cardiología15; este es el motivo, por ejemplo, por el que la edad media sea sensiblemente inferior a la observada en estudios poblacionales y de la alta representación de pacientes de sexo masculino, jóvenes y con fracción de eyección del ventrículo izquierdo reducida. Cabe recordar, asimismo, que el modelo clínico de 5 ítems, si bien está inspirado en las recomendaciones del IC-BERG, supone algunas modificaciones con respecto a la redacción original de las mismas. Así, con el objetivo de poder proceder al análisis estadístico, se realizó una categorización de las variables clínicas clase funcional de la NYHA (III-IV frente a I-II) y NT-proBNP (≥1.000pg/ml frente a<1.000pg/ml), por motivos ya justificados en el apartado de discusión, que no se había especificado en la guía de recomendaciones IC-BERG original4. Cabe aclarar, asimismo, que se consideró la clase NYHA que constaba en la base de datos preexistente empleada para el estudio; esto implica que no se realizaron a los pacientes las preguntas dirigidas a la progresión evolutiva de los síntomas clínicos que se recogen en el cuestionario IC-BERG4. Por último, no se dispuso de información de las visitas de los pacientes a urgencias por descompensación de IC, lo que en caso de haberse considerado como un equivalente de hospitalización, podría haber supuesto una pequeña variación al alza de la puntuación de riesgo asignada a algunos pacientes.
ConclusionesEl presente estudio, basado en una cohorte histórica de un hospital universitario español, apoya la utilidad de un modelo clínico de 5 ítems basado en las recomendaciones IC-BERG para predecir el pronóstico de pacientes ambulatorios con IC. Para confirmar estos hallazgos sería deseable la validación futura del modelo mediante un estudio multicéntrico prospectivo.
- Los pacientes ambulatorios con IC, incluso aquellos considerados estables, están expuestos a un riesgo significativo de hospitalización por descompensación y mortalidad.
- El grupo de trabajo IC-BERG, promovido por la Asociación de Cardiología Clínica de la Sociedad Española de Cardiología, ha definido recientemente una serie de recomendaciones para la evaluación clínica de los pacientes con IC en la consulta externa, orientadas a mejorar su tratamiento y su pronóstico
¿Qué novedades aporta- Los resultados de nuestro estudio apoyan el valor pronóstico de un modelo clínico de 5 ítems basado en las recomendaciones IC-BERG para la evaluación de pacientes ambulatorios con IC.
El grupo de investigación de Insuficiencia Cardiaca del Complejo Hospitalario Universitario de A Coruña recibe financiación regular para sus actividades del Instituto de Salud Carlos III, a través del consorcio CIBERCV.
El proyecto IC-BERG de la Asociación de Cardiología Clínica de la Sociedad Española de Cardiología cuenta con financiación no condicionada de Novartis Pharma.
Este trabajo no ha recibido una beca. La financiación del grupo de investigación desde el CIBERCV no va dirigida a un proyecto concreto, sino al mantenimiento de las actividades del propio grupo.
Contribución de los autoresE. Barge-Caballero: concepción y diseño del estudio, recogida de información, análisis estadístico y redacción del manuscrito. G. Barge-Caballero, D. Couto-Mallón, M.J. Paniagua-Martín, P. Pardo-Martínez, M. Sagastagoitia-Fornie: recogida de información y revisión crítica del manuscrito. V. Barrios, C. Escobar y J. Cosín-Sales: revisión crítica del manuscrito. J. Muñiz: revisión crítica del manuscrito, análisis estadístico y metodología. J.M. Vázquez-Rodríguez: revisión crítica del manuscrito, supervisión y gestión de recursos. M.G. Crespo-Leiro: revisión crítica del manuscrito, recogida de información, supervisión y gestión de recursos.
Conflicto de interesesE. Barge-Caballero declara que ha recibido pagos de Novartis Pharma como honorarios de consultoría y ponencias, así como ayudas para asistencia a congresos.
El resto de autores declara no tener ningún conflicto de intereses.












